Jones Reagent Hazards . 7 million sds in 25 languages. Jones reagent product number : Learn how to prepare and use jones reagent, and see examples and mechanisms of jones oxidation. Free sds service for retailers, ecommerce and users of chemicals. Jones reagent product number : Web free download of safety data sheet. Web jones reagent is a solution of chromium trioxide in aqueous sulfuric acid, used for the oxidation of alcohols and alkenes. Aldrich 1.2 relevant identified uses of the substance or mixture and uses. Aldrich 1.2 relevant identified uses of the substance or mixture and uses. Web the jones reagent is a solution of chromium trioxide in diluted sulfuric acid that can be used safely for oxidations of organic substrates in. Web jones reagent is a mixture of chromium trioxide and sulfuric acid that can oxidize alcohols to carboxylic acids or ketones.
from www.youtube.com
7 million sds in 25 languages. Web jones reagent is a solution of chromium trioxide in aqueous sulfuric acid, used for the oxidation of alcohols and alkenes. Web jones reagent is a mixture of chromium trioxide and sulfuric acid that can oxidize alcohols to carboxylic acids or ketones. Learn how to prepare and use jones reagent, and see examples and mechanisms of jones oxidation. Aldrich 1.2 relevant identified uses of the substance or mixture and uses. Web free download of safety data sheet. Jones reagent product number : Web the jones reagent is a solution of chromium trioxide in diluted sulfuric acid that can be used safely for oxidations of organic substrates in. Aldrich 1.2 relevant identified uses of the substance or mixture and uses. Jones reagent product number :
JONES REAGENT oxidising agent ytshorts YouTube
Jones Reagent Hazards 7 million sds in 25 languages. Jones reagent product number : Web the jones reagent is a solution of chromium trioxide in diluted sulfuric acid that can be used safely for oxidations of organic substrates in. Web jones reagent is a mixture of chromium trioxide and sulfuric acid that can oxidize alcohols to carboxylic acids or ketones. Learn how to prepare and use jones reagent, and see examples and mechanisms of jones oxidation. Web jones reagent is a solution of chromium trioxide in aqueous sulfuric acid, used for the oxidation of alcohols and alkenes. Aldrich 1.2 relevant identified uses of the substance or mixture and uses. Web free download of safety data sheet. Free sds service for retailers, ecommerce and users of chemicals. Aldrich 1.2 relevant identified uses of the substance or mixture and uses. Jones reagent product number : 7 million sds in 25 languages.
From www.youtube.com
Jones Reagent Vs PCC Oxidation Organic Chemistry youtubeshorts Jones Reagent Hazards Aldrich 1.2 relevant identified uses of the substance or mixture and uses. Web the jones reagent is a solution of chromium trioxide in diluted sulfuric acid that can be used safely for oxidations of organic substrates in. 7 million sds in 25 languages. Jones reagent product number : Free sds service for retailers, ecommerce and users of chemicals. Web jones. Jones Reagent Hazards.
From www.youtube.com
Jones Reagent and PDC Reagent with Mechanism Oxidation Lect4 YouTube Jones Reagent Hazards Web jones reagent is a mixture of chromium trioxide and sulfuric acid that can oxidize alcohols to carboxylic acids or ketones. Aldrich 1.2 relevant identified uses of the substance or mixture and uses. Web the jones reagent is a solution of chromium trioxide in diluted sulfuric acid that can be used safely for oxidations of organic substrates in. Web jones. Jones Reagent Hazards.
From www.researchgate.net
Reaction conditions (i) Jones reagent, acetone, 3 h, 08C; (ii) CH 2 N Jones Reagent Hazards Web free download of safety data sheet. Free sds service for retailers, ecommerce and users of chemicals. Web jones reagent is a solution of chromium trioxide in aqueous sulfuric acid, used for the oxidation of alcohols and alkenes. Aldrich 1.2 relevant identified uses of the substance or mixture and uses. Jones reagent product number : Jones reagent product number :. Jones Reagent Hazards.
From www.slideserve.com
PPT Chapter 12 PowerPoint Presentation, free download ID3366113 Jones Reagent Hazards Web free download of safety data sheet. Web jones reagent is a mixture of chromium trioxide and sulfuric acid that can oxidize alcohols to carboxylic acids or ketones. Free sds service for retailers, ecommerce and users of chemicals. Web jones reagent is a solution of chromium trioxide in aqueous sulfuric acid, used for the oxidation of alcohols and alkenes. Aldrich. Jones Reagent Hazards.
From www.youtube.com
Reaction And Reagent today Oxidation Using Jones Reagent Or KMnO4 Jones Reagent Hazards Web jones reagent is a mixture of chromium trioxide and sulfuric acid that can oxidize alcohols to carboxylic acids or ketones. Web jones reagent is a solution of chromium trioxide in aqueous sulfuric acid, used for the oxidation of alcohols and alkenes. Web free download of safety data sheet. 7 million sds in 25 languages. Jones reagent product number :. Jones Reagent Hazards.
From www.youtube.com
Jones reagent collins reagent oxidation of alcohols YouTube Jones Reagent Hazards Learn how to prepare and use jones reagent, and see examples and mechanisms of jones oxidation. Web jones reagent is a solution of chromium trioxide in aqueous sulfuric acid, used for the oxidation of alcohols and alkenes. Jones reagent product number : Aldrich 1.2 relevant identified uses of the substance or mixture and uses. Jones reagent product number : Web. Jones Reagent Hazards.
From www.organicchemistrytutor.com
Jones Oxidation — Organic Chemistry Tutor Jones Reagent Hazards Aldrich 1.2 relevant identified uses of the substance or mixture and uses. Web free download of safety data sheet. Web jones reagent is a solution of chromium trioxide in aqueous sulfuric acid, used for the oxidation of alcohols and alkenes. Learn how to prepare and use jones reagent, and see examples and mechanisms of jones oxidation. Web jones reagent is. Jones Reagent Hazards.
From www.youtube.com
Jones Reagent, H2CrO4 Oxidation of Alcohols Reaction Mechanism Chromic Jones Reagent Hazards Aldrich 1.2 relevant identified uses of the substance or mixture and uses. 7 million sds in 25 languages. Free sds service for retailers, ecommerce and users of chemicals. Aldrich 1.2 relevant identified uses of the substance or mixture and uses. Web the jones reagent is a solution of chromium trioxide in diluted sulfuric acid that can be used safely for. Jones Reagent Hazards.
From www.homeworklib.com
EtOH heat NaOH DMSO NaCN DMF Jones reagent reagent(s) OAC reagent(s Jones Reagent Hazards Web jones reagent is a mixture of chromium trioxide and sulfuric acid that can oxidize alcohols to carboxylic acids or ketones. 7 million sds in 25 languages. Web the jones reagent is a solution of chromium trioxide in diluted sulfuric acid that can be used safely for oxidations of organic substrates in. Jones reagent product number : Web free download. Jones Reagent Hazards.
From zuoti.pro
3. Draw the product for the following reactions H₂Cro4 H3O* & acetone Jones Reagent Hazards Free sds service for retailers, ecommerce and users of chemicals. 7 million sds in 25 languages. Jones reagent product number : Aldrich 1.2 relevant identified uses of the substance or mixture and uses. Web free download of safety data sheet. Aldrich 1.2 relevant identified uses of the substance or mixture and uses. Web jones reagent is a mixture of chromium. Jones Reagent Hazards.
From www.researchgate.net
Scheme 8 Reagents and conditions i) 10 KOH, MeOH; ii) Jones' reagent Jones Reagent Hazards Jones reagent product number : Web jones reagent is a solution of chromium trioxide in aqueous sulfuric acid, used for the oxidation of alcohols and alkenes. Aldrich 1.2 relevant identified uses of the substance or mixture and uses. Web jones reagent is a mixture of chromium trioxide and sulfuric acid that can oxidize alcohols to carboxylic acids or ketones. Jones. Jones Reagent Hazards.
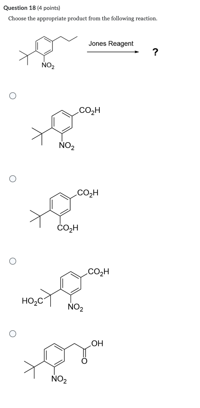
From www.chegg.com
Solved Question 18 (4 points) Choose the appropriate product Jones Reagent Hazards Learn how to prepare and use jones reagent, and see examples and mechanisms of jones oxidation. Web jones reagent is a mixture of chromium trioxide and sulfuric acid that can oxidize alcohols to carboxylic acids or ketones. Web the jones reagent is a solution of chromium trioxide in diluted sulfuric acid that can be used safely for oxidations of organic. Jones Reagent Hazards.
From www.youtube.com
Jones Reagent oxidising agent YouTube Jones Reagent Hazards Jones reagent product number : Free sds service for retailers, ecommerce and users of chemicals. 7 million sds in 25 languages. Web free download of safety data sheet. Aldrich 1.2 relevant identified uses of the substance or mixture and uses. Aldrich 1.2 relevant identified uses of the substance or mixture and uses. Jones reagent product number : Web jones reagent. Jones Reagent Hazards.
From www.youtube.com
Reagent Today Jones reagent YouTube Jones Reagent Hazards Aldrich 1.2 relevant identified uses of the substance or mixture and uses. Learn how to prepare and use jones reagent, and see examples and mechanisms of jones oxidation. Free sds service for retailers, ecommerce and users of chemicals. Web the jones reagent is a solution of chromium trioxide in diluted sulfuric acid that can be used safely for oxidations of. Jones Reagent Hazards.
From www.chegg.com
Solved Which of these compounds react with Jones reagent? Jones Reagent Hazards Jones reagent product number : Web jones reagent is a solution of chromium trioxide in aqueous sulfuric acid, used for the oxidation of alcohols and alkenes. Free sds service for retailers, ecommerce and users of chemicals. Web the jones reagent is a solution of chromium trioxide in diluted sulfuric acid that can be used safely for oxidations of organic substrates. Jones Reagent Hazards.
From www.youtube.com
Oxidation of Alcohols Using Jones Reagent and PCC YouTube Jones Reagent Hazards Web free download of safety data sheet. Web jones reagent is a solution of chromium trioxide in aqueous sulfuric acid, used for the oxidation of alcohols and alkenes. Web the jones reagent is a solution of chromium trioxide in diluted sulfuric acid that can be used safely for oxidations of organic substrates in. Web jones reagent is a mixture of. Jones Reagent Hazards.
From www.youtube.com
Oxidation of Alcohols by Jones Reagent and PCC, Alcohol oxidation by Jones Reagent Hazards Web the jones reagent is a solution of chromium trioxide in diluted sulfuric acid that can be used safely for oxidations of organic substrates in. Jones reagent product number : 7 million sds in 25 languages. Web free download of safety data sheet. Web jones reagent is a mixture of chromium trioxide and sulfuric acid that can oxidize alcohols to. Jones Reagent Hazards.
From www.youtube.com
JONES REAGENT oxidising agent ytshorts YouTube Jones Reagent Hazards Web free download of safety data sheet. Web jones reagent is a solution of chromium trioxide in aqueous sulfuric acid, used for the oxidation of alcohols and alkenes. Jones reagent product number : Learn how to prepare and use jones reagent, and see examples and mechanisms of jones oxidation. Jones reagent product number : 7 million sds in 25 languages.. Jones Reagent Hazards.